Chapter 11 3. Tweedie

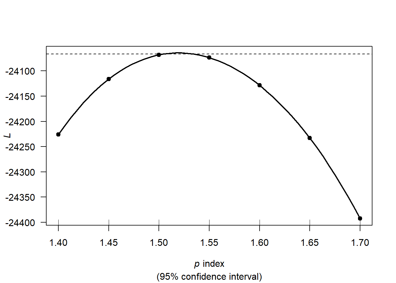
11.1 a. (8 points) Using the entire dataset, create a profile likelihood of the index values p for use in a glm utilizing the Tweedie distribution to predict PurePremium directly. Make a plot of the profile likelihood and select the best value. (7520 - 3 points): For graduate students, I expect some exploration to find the best value as these data are quite poorly behaved. Look at the “Value” section of ?tweedie.profile for some hints, and I would suggest narrowing the search space for p and evaluating it on a somewhat fine grid.

library(tweedie)
?tweedie.profile
## starting httpd help server ... done
#per tweedie documentation on p.vec. if there is 0, below is the recommendated setting.

TW_p_log <- tweedie.profile(AvgClaimAmount ~ .,
p.vec = seq(from=1.2,to=1.8,by=0.1),
link.power = 0, do.plot = TRUE,# log link
data=Insurance)
## 1.2 1.3 1.4 1.5 1.6 1.7 1.8 
## .......Done.

TW_p_log <- tweedie.profile(AvgClaimAmount ~ .,
p.vec = seq(from=1.4,to=1.7,by=0.05),
link.power = 0, do.plot = TRUE,# log link
data=Insurance)
## 1.4 1.45 1.5 1.55 1.6 1.65 1.7 
## .......Done.

Tweedie_p_log = TW_p_log$p.max
Tweedie_p_log
## [1] 1.522449

The best value is 1.52.

11.2 b. Fit the Tweedie GLM model using the optimal power value you computed from the previous question. The file Insurance_test.csv contains a few additional observations which were not a portion of the data used to fit the previous models. We can read it in and format it using syntax similar to when we started. NewDataPoints <- read.csv(“…./Insurance_test.csv”) NewDataPoints$VehBrand <- as.factor(NewDataPoints$VehBrand) NewDataPoints$VehPower <- as.factor(NewDataPoints$VehPower) NewDataPoints$VehGas <- as.factor(NewDataPoints$VehGas) NewDataPoints$Region <- as.factor(NewDataPoints$Region) NewDataPoints$Area <- as.factor(NewDataPoints$Area)

NewDataPoints <- read.csv("E:/Cloud/OneDrive - University of Missouri/Mizzou_PhD/Class plan/Applied Stats Model II/HW2/Insurance_test.csv") 
NewDataPoints$VehBrand <- as.factor(NewDataPoints$VehBrand) 
NewDataPoints$VehPower <- as.factor(NewDataPoints$VehPower) 
NewDataPoints$VehGas <- as.factor(NewDataPoints$VehGas) 
NewDataPoints$Region <- as.factor(NewDataPoints$Region) 
NewDataPoints$Area <- as.factor(NewDataPoints$Area)
library(statmod) # For tweedie family in glm()

clot_Tweedie_log <- glm(AvgClaimAmount ~ ., data=Insurance,
family=tweedie(var.power=TW_p_log$p.max,link.power=0))
summary(clot_Tweedie_log)
## 
## Call:
## glm(formula = AvgClaimAmount ~ ., family = tweedie(var.power = TW_p_log$p.max, 
##     link.power = 0), data = Insurance)
## 
## Deviance Residuals: 
##      Min        1Q    Median        3Q       Max  
## -143.413    -2.577    -2.358    -2.138    88.120  
## 
## Coefficients: (1 not defined because of singularities)
##                      Estimate Std. Error t value Pr(>|t|)    
## (Intercept)        -1.636e+00  2.401e-01  -6.814 9.62e-12 ***
## ClaimNb             5.551e+00  2.373e-02 233.891  < 2e-16 ***
## Exposure           -4.523e-01  6.460e-02  -7.002 2.56e-12 ***
## AreaB              -6.157e-01  9.202e-02  -6.691 2.25e-11 ***
## AreaC              -9.969e-01  1.217e-01  -8.193 2.62e-16 ***
## AreaD              -1.432e+00  1.886e-01  -7.592 3.21e-14 ***
## AreaE              -1.863e+00  2.469e-01  -7.547 4.54e-14 ***
## AreaF              -2.206e+00  3.625e-01  -6.086 1.17e-09 ***
## VehPower5           1.935e-01  7.206e-02   2.685 0.007252 ** 
## VehPower6           1.713e-01  6.842e-02   2.504 0.012298 *  
## VehPower7          -1.871e-01  6.894e-02  -2.713 0.006662 ** 
## VehPower8          -1.024e-01  1.057e-01  -0.968 0.332876    
## VehPower9           3.152e-01  1.066e-01   2.958 0.003098 ** 
## VehPower10          4.430e-01  1.133e-01   3.910 9.23e-05 ***
## VehPower11          7.907e-01  1.423e-01   5.556 2.78e-08 ***
## VehPower12          6.662e-01  2.117e-01   3.146 0.001654 ** 
## VehPower13          1.599e-01  2.723e-01   0.587 0.557015    
## VehPower14         -2.349e+00  6.682e-01  -3.515 0.000441 ***
## VehPower15          9.716e-01  4.146e-01   2.344 0.019100 *  
## VehAge             -3.288e-03  4.003e-03  -0.821 0.411487    
## DrivAge             1.230e-02  1.488e-03   8.271  < 2e-16 ***
## BonusMalus          7.315e-03  1.185e-03   6.171 6.84e-10 ***
## VehBrandB10         7.370e-02  1.421e-01   0.519 0.603970    
## VehBrandB11         7.272e-01  1.379e-01   5.275 1.33e-07 ***
## VehBrandB12        -4.509e-01  9.113e-02  -4.948 7.54e-07 ***
## VehBrandB13         1.093e+00  1.305e-01   8.376  < 2e-16 ***
## VehBrandB14         6.719e-01  2.192e-01   3.064 0.002182 ** 
## VehBrandB2          9.120e-02  5.343e-02   1.707 0.087828 .  
## VehBrandB3         -7.350e-02  7.786e-02  -0.944 0.345144    
## VehBrandB4          3.675e-01  1.017e-01   3.614 0.000302 ***
## VehBrandB5          4.190e-01  8.288e-02   5.055 4.33e-07 ***
## VehBrandB6          3.926e-01  8.891e-02   4.416 1.01e-05 ***
## VehGasRegular      -2.223e-01  4.420e-02  -5.028 4.97e-07 ***
## Density             3.520e-01  4.718e-02   7.460 8.80e-14 ***
## RegionR21           6.821e-01  4.580e-01   1.489 0.136462    
## RegionR22           3.816e-01  2.036e-01   1.875 0.060840 .  
## RegionR23           6.810e-01  3.349e-01   2.034 0.041990 *  
## RegionR24           7.622e-01  1.072e-01   7.107 1.20e-12 ***
## RegionR25           2.417e-02  1.975e-01   0.122 0.902627    
## RegionR26           5.522e-01  2.320e-01   2.380 0.017305 *  
## RegionR31           8.848e-01  1.478e-01   5.986 2.16e-09 ***
## RegionR41          -3.213e-02  1.409e-01  -0.228 0.819610    
## RegionR42           7.103e-02  2.552e-01   0.278 0.780753    
## RegionR43           1.662e-01  7.882e-01   0.211 0.832964    
## RegionR52           4.081e-01  1.255e-01   3.250 0.001153 ** 
## RegionR53           7.129e-01  1.176e-01   6.061 1.36e-09 ***
## RegionR54          -7.083e-02  1.370e-01  -0.517 0.605221    
## RegionR72           5.431e-02  1.322e-01   0.411 0.681283    
## RegionR73           6.923e-01  2.178e-01   3.179 0.001479 ** 
## RegionR74          -6.384e-01  1.781e-01  -3.585 0.000337 ***
## RegionR82           6.612e-01  1.075e-01   6.150 7.83e-10 ***
## RegionR83          -8.528e-02  4.404e-01  -0.194 0.846456    
## RegionR91           5.483e-01  1.659e-01   3.305 0.000949 ***
## RegionR93           8.103e-01  1.147e-01   7.065 1.63e-12 ***
## RegionR94          -2.268e-01  5.804e-01  -0.391 0.695913    
## PurePremium         3.061e-07  1.992e-08  15.364  < 2e-16 ***
## Frequency           2.106e-02  1.861e-03  11.320  < 2e-16 ***
## Predicted_Class    -1.096e+00  4.752e-01  -2.307 0.021053 *  
## Predicted_Class_NB         NA         NA      NA       NA    
## ---
## Signif. codes:  0 '***' 0.001 '**' 0.01 '*' 0.05 '.' 0.1 ' ' 1
## 
## (Dispersion parameter for Tweedie family taken to be 52.21709)
## 
##     Null deviance: 2712009  on 44998  degrees of freedom
## Residual deviance:  620930  on 44941  degrees of freedom
## AIC: NA
## 
## Number of Fisher Scoring iterations: 20

11.3 c.(7 points) Use your Poisson model from 1b from and your final Gamma model from 2d to generate respective predictions for the number of claims in a year as well as the average amount per claim. Multiply these together and call this product purepremium_prod. Similarly, use your Tweedie model from 3b to directly predict the PurePremium value and store this in purepremium_TW.

count(Insurance, Predicted_Class)
##   Predicted_Class     n
## 1               0 44994
## 2               1     4
## 3               2     1
amt_predict = predict(Insurance_GammaGLM)
mean(amt_predict)
## [1] 7.360522
library(dplyr)
count(Insurance, Predicted_Class)
##   Predicted_Class     n
## 1               0 44994
## 2               1     4
## 3               2     1
purepremium_prod = 44999 * mean(Total_Prob0) * mean(amt_predict) #using the ZIP model. total # of insurances * average claims predicted * average claim amount predicted. #??? won't it just be the average of the original dataset?
purepremium_prod
## [1] 314243.7

The purepremium_prod will be $314,268.8 using ZIP model

clot_Tweedie_log_predict <- predict(clot_Tweedie_log,data = 'Insurance', type="response")
p_MLE <- TW_p_log$p.max
phi_MLE <- TW_p_log$phi.max
#Prob_Zero_Model <- exp(-mu.Phasesˆ(2 - p_MLE)/(phi_MLE*(2 - p_MLE)))
#error unexpected input??? what does it mean?
#S46: 
CPoiGam <- tweedie.convert(xi=p_MLE, mu=clot_Tweedie_log_predict, phi=phi_MLE)
PoiGamPred <- rbind("Poisson mean" = CPoiGam$poisson.lambda,
"Gamma mean" = CPoiGam$gamma.mean,
"Gamma dispersion" = CPoiGam$gamma.phi)
mean(CPoiGam$poisson.lambda * CPoiGam$gamma.mean)
## [1] 32.47151
purepremium_TW = 44999 * 32
purepremium_TW
## [1] 1439968

The purepremium_TW will be $1,439,968 using Tweedie model

#??? why the two results are so different?